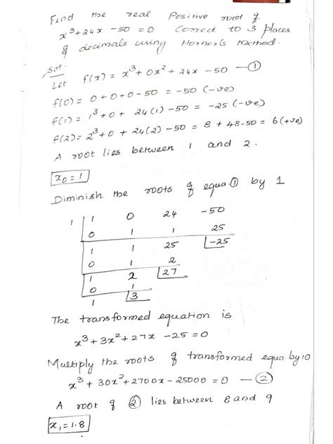
Horner's Method: A Simple Way To Evaluate Polynomials

B.Jadlamracingmodels 23 views
Horner's Method: A Simple Way To Evaluate Polynomials

Horner’s Method: A Simple Way to Evaluate Polynomials

Hey guys! Today, we’re diving into something super cool in the world of math: Horner’s Method . If you’ve ever found yourself groaning at the thought of plugging numbers into long polynomial equations, you’re gonna love this. Horner’s Method, also known as Horner’s Rule or Horner’s Scheme, is a super efficient way to evaluate polynomials. It’s named after the British mathematician William George Horner, but believe it or not, it was actually known and used by Chinese mathematicians way back in the 13th century! How wild is that? So, what’s the big deal? Well, traditional polynomial evaluation involves a lot of multiplications and additions. For a polynomial of degree ‘n’, you’d typically need ‘n’ multiplications and ‘n’ additions. But with Horner’s Method, we can slash that down significantly, making it way faster, especially when dealing with high-degree polynomials. This makes it a go-to for computer algorithms and numerical analysis. We’re talking about saving precious processing time, which is huge in the digital age, right?

So, let’s break down how this magic works. Imagine you have a polynomial like this: P(x) = a n x^n + a {n-1} x^{n-1} + … + a_1 x + a_0. To evaluate P© for some value ‘c’, the standard way would be to calculate each term (a_i * c^i) separately and then sum them all up. That’s a lot of calculating powers of ‘c’, which can get tedious. Horner’s Method offers a smarter approach. It rewrites the polynomial in a nested form. Instead of the standard form, we express it like this: P(x) = (…((a n x + a {n-1})x + a_{n-2})x + …)x + a_0. See that nesting? That’s the key! This structure means we can evaluate it iteratively. We start with the highest coefficient, multiply by ‘x’, add the next coefficient, multiply by ‘x’ again, add the next, and so on, until we reach the constant term. It’s like a streamlined assembly line for calculations. This method not only simplifies the calculation process but also reduces the number of operations needed. For a polynomial of degree ‘n’, it requires only ‘n’ multiplications and ‘n’ additions. This is a significant improvement over the traditional method, especially for large ‘n’. Think about it: if you have a 10th-degree polynomial, the traditional method might involve around 10 multiplications for powers and then another 10 for the coefficients, plus 10 additions. Horner’s Method? Just 10 multiplications and 10 additions, all done in a clever, sequential way. This efficiency is why it’s so widely used in computational mathematics and programming. It’s a fundamental algorithm that makes complex tasks much more manageable. It’s also incredibly useful when you need to find the roots of a polynomial, but we’ll get to that later. For now, just appreciate how this clever rearrangement saves us a ton of work!

The Mechanics of Horner’s Method

Alright, let’s get our hands dirty with an example to really see Horner’s Method in action. Suppose we want to evaluate the polynomial P(x) = 3x^4 - 2x^3 + x^2 - 5x + 7 at x = 2. The traditional way would be: P(2) = 3(2)^4 - 2(2)^3 + (2)^2 - 5(2) + 7. We’d calculate 2^4 = 16, 2^3 = 8, 2^2 = 4. Then, 3*16 = 48, -2*8 = -16, 1*4 = 4, -5*2 = -10. Finally, 48 - 16 + 4 - 10 + 7 = 33. Not too bad for a degree 4 polynomial, but imagine doing this for degree 10 or 20! It gets messy fast. Now, let’s apply Horner’s Method. First, we rewrite P(x) in its nested form: P(x) = (((3x - 2)x + 1)x - 5)x + 7. Notice how the coefficients are grouped? The coefficients are 3, -2, 1, -5, and 7. The value of x we’re interested in is 2. We start with the leading coefficient, 3. Step 1: Take the first coefficient, 3. Step 2: Multiply by x (which is 2): 3 * 2 = 6. Step 3: Add the next coefficient (-2): 6 + (-2) = 4. Step 4: Multiply this result by x (2): 4 * 2 = 8. Step 5: Add the next coefficient (1): 8 + 1 = 9. Step 6: Multiply by x (2): 9 * 2 = 18. Step 7: Add the next coefficient (-5): 18 + (-5) = 13. Step 8: Multiply by x (2): 13 * 2 = 26. Step 9: Add the final coefficient (7): 26 + 7 = 33. Boom! We get the same answer, 33, but notice how much more straightforward the process was. We just kept multiplying the running total by ‘x’ and adding the next coefficient. No need to calculate high powers of ‘x’ separately. This iterative process is super easy to implement in a computer program. You can think of it as a loop. You initialize a variable with the first coefficient, and then in each step of the loop, you multiply that variable by ‘x’ and add the next coefficient. This is exactly what happens in the synthetic division process, which is closely related to Horner’s Method. The coefficients in the synthetic division tableau are manipulated in the same sequential manner. This makes Horner’s Method not just a theoretical concept but a practical tool for computation. It’s a testament to how a simple rearrangement can lead to significant computational gains. It’s like finding a shortcut on a long hike; you get to the same destination, but with much less effort.

Horner’s Method and Synthetic Division: A Powerful Duo

Now, here’s where things get even more interesting, guys. Horner’s Method is not just a standalone technique for polynomial evaluation; it’s intimately connected with synthetic division. In fact, performing synthetic division to evaluate a polynomial at a specific value is essentially applying Horner’s Method. Remember that nested form we talked about? P(x) = (…((a n x + a {n-1})x + a_{n-2})x + …)x + a_0. When we perform synthetic division with a divisor ‘c’ (the value at which we want to evaluate the polynomial), the steps involved mirror the calculation process of Horner’s Method precisely. Let’s revisit our example: P(x) = 3x^4 - 2x^3 + x^2 - 5x + 7 and we want to evaluate at x = 2. The coefficients are 3, -2, 1, -5, 7. We set up the synthetic division like this:

2 | 3  -2   1  -5   7
  |    6   8  18  26
  ------------------
    3   4   9  13  33

Let’s trace the steps:

  1. Bring down the first coefficient (3).
  2. Multiply it by the divisor (2): 3 * 2 = 6. Write this under the second coefficient (-2).
  3. Add the second coefficient and the result: -2 + 6 = 4.
  4. Multiply this new sum (4) by the divisor (2): 4 * 2 = 8. Write this under the third coefficient (1).
  5. Add: 1 + 8 = 9.
  6. Multiply by the divisor (2): 9 * 2 = 18. Write under -5.
  7. Add: -5 + 18 = 13.
  8. Multiply by the divisor (2): 13 * 2 = 26. Write under 7.
  9. Add: 7 + 26 = 33.

The last number, 33, is the value of P(2). See the parallels? The numbers we’re generating (3, 4, 9, 13) are the intermediate results from Horner’s Method: 3 (initial), (3*2 - 2) = 4, (4*2 + 1) = 9, (9*2 - 5) = 13. The final result, 33, is the value of the polynomial. This connection is incredibly powerful because synthetic division also gives us more than just the value of P©. According to the Remainder Theorem, the remainder when a polynomial P(x) is divided by (x-c) is P©. So, the 33 we got is indeed P(2). But wait, there’s more! The other numbers in the bottom row (3, 4, 9, 13) are the coefficients of the quotient polynomial when P(x) is divided by (x-2). In this case, the quotient is 3x^3 + 4x^2 + 9x + 13. This means P(x) can be written as P(x) = (x-2)(3x^3 + 4x^2 + 9x + 13) + 33. This relationship is fundamental in algebra and calculus. It allows us to factor polynomials, find roots, and simplify complex expressions much more easily. So, Horner’s Method , through its link with synthetic division, becomes a gateway to deeper polynomial manipulation. It’s not just about calculating a number; it’s about understanding the structure and behavior of polynomials.

Applications Beyond Evaluation

So, we’ve seen how Horner’s Method is a super-efficient way to evaluate polynomials and how it ties directly into synthetic division. But its utility doesn’t stop there, guys! This clever technique has some pretty awesome applications that go way beyond just plugging in a number. One of the most significant is in finding roots of polynomials . Remember how synthetic division gives us the quotient and remainder? If we find a value ‘c’ such that P© = 0 (meaning the remainder is zero), then ‘c’ is a root of the polynomial, and (x-c) is a factor. Horner’s Method, combined with synthetic division, provides an iterative way to test potential roots. For example, the Rational Root Theorem helps us identify potential rational roots, and then we can use Horner’s Method to quickly check if any of them are actual roots. If we find a root ‘c’, we can then divide the polynomial by (x-c) using synthetic division (which, as we know, is Horner’s Method in disguise). This reduces the degree of the polynomial, making it easier to find the remaining roots. This process can be repeated until we find all roots or are left with a polynomial that’s simple enough to solve directly. This iterative root-finding approach is the basis for many numerical algorithms used in scientific computing and engineering. For instance, algorithms like Newton-Raphson can be seen as related concepts, aiming to find values where a function equals zero, often by approximating derivatives, which themselves are related to polynomial coefficients. Another crucial application is in calculating derivatives of polynomials . The derivative of a polynomial P(x) = a_n x^n + … + a_0 is P’(x) = n*a_n x^{n-1} + … + a_1. Evaluating P’(x) at a specific point ‘c’ can be done efficiently using Horner’s Method. Even more powerfully, a variation of Horner’s Method can be used to compute all the derivatives of a polynomial at a point simultaneously. This is known as the